
Monopolio en la compra de derechos televisivos y equilibrio competitivo del fútbol peruano: caso Alianza Universidad de Huánuco
Monopoly in the Purchase of Television Rights and Competitive Balance in Peruvian Football: The Case of Alianza Universidad de Huánuco
Clara Luz Ramírez Velarde1a
Universidad de Huánuco, Huánuco, Perú.
Maestra en Ciencias Administrativas, con mención en Gestión Pública.
ORCID: https://orcid.org/0009-0003-4260-8129
Citar como: Ramírez Velarde, C. L. (2025) Monopolio en la compra de derechos televisivos y equilibrio competitivo del fútbol peruano: caso Alianza Universidad de Huánuco. Innovación Empresarial, 5(2), 1-19. https://doi.org/10.37711/rcie.2025.5.2.2
RESUMEN
Objetivo. Analizar el monopolio en la compra de derechos televisivos y el equilibrio competitivo del fútbol peruano, caso Alianza Universidad de Huánuco. Métodos. El estudio fue de enfoque cuantitativo, de alcance explicativo y de diseño longitudinal, Para el análisis inferencial fue aplicada una fórmula estadística con el objetivo de encontrar la desviación estándar de los puntos logrados por los equipos que participaron en los campeonatos del 2019, 2020 y 2021, el índice de Herfindahl-Hirschman (HHI), y fueron analizados las ratios entre los equipos que más reciben y los que menos reciben por derechos televisivos. Resultados. La desviación estándar fue mayor a 1, lo cual indica que no existe equilibrio competitivo en el campeonato Liga 1 del Perú en los años estudiados. Respecto a las ratios entre el equipo que más recibe (Alianza Lima) y menos recibe (Alianza Universidad de Huánuco) fueron mayores a 2, lo que indica que no existe equilibrio competitivo. Por otra parte, los resultados del HHI muestran que la concentración de puntos en los años analizados ha disminuido: de un valor normalizado de 849,27 en 2019, a 543,85 en 2020 y 528,14 en 2021. Conclusiones. El manejo monopólico del Consorcio Fútbol del Perú no realizaba una distribución equitativa de los ingresos televisivos, como también no existió equilibrio competitivo en el campeonato Liga 1 del Perú y entre los equipos que más reciben y menos reciben.
Palabras clave: equilibrio competitivo, derechos de transmisión televisiva, monopolio, incertidumbre, venta individualizada, venta centralizada.
ABSTRACT
Objective. To analyze the monopoly in the purchase of television rights and the competitive balance of the peruvian football, Alianza Universidad de Huanuco case. Methods. The study was of quantitative approach, of explanatory scope and longitudinal design, for the inferential analysis, a statistical formula was applied with the objective of finding the standard deviation of the points obtained by the teams that participated in the championships of 2019, 2020, and 2021, the Herfindahl-Hirschman Index (HHI), and the ratios between the teams that receive the most and those that receive the least from television rights were analyzed. Results. The standard deviation was greater than 1, which indicates that there is no competitive balance in the Liga 1 championship of Peru in the years studied. Regarding the ratios between the team that receives the most (Alianza Lima) and the one that receives the least (Alianza Universidad de Huánuco), these were greater than 2, which indicates that there is no competitive balance. On the other hand, the results of the HHI show that the concentration of points in the analyzed years has decreased: from a normalized value of 849.27 in 2019, to 543.85 in 2020, and 528.14 in 2021. Conclusions. The monopolistic management of the Consorcio Fútbol del Perú did not carry out an equitable distribution of television revenue, nor was there competitive balance in the Liga 1 championship of Peru and between the teams that receive the most and the least.
Keywords: competitive balance, television transmission rights, monopoly, uncertainty, individualized selling, centralized selling.
INTRODUCCIÓN
El Club Social Deportivo Cultural (CSDC) Alianza Universidad de Huánuco, fundado en 1939 tras la fusión de los clubes Miguel Grau y Jorge Chávez, ha tenido una trayectoria notable en el fútbol peruano. Su ascenso al fútbol profesional en 1991 marcó un hito y en 2004, al cambiar su nombre, estableció una alianza con la Universidad de Huánuco, lo que le permitió destacar en torneos regionales y nacionales. Sin embargo, su participación en la Segunda División Profesional desde 2012 hasta 2016 y su posterior regreso a la Copa Perú en 2017 reflejan los desafíos económicos que enfrenta y, entre 2019 y 2021, el Consorcio Fútbol del Perú asignó montos significativamente mayores a los clubes "grandes", como Alianza Lima y Universitario de Deportes, mientras que equipos como Alianza Universidad de Huánuco recibieron una suma mucho menor. Esta disparidad, junto con la programación inadecuada de los partidos, condenó a los clubes menos favorecidos a una pobre participación y a la pérdida prematura de categoría.
Ahora bien, la importancia de los derechos televisivos en la economía del fútbol es crecientemente notable, siendo la fuente clave de ingresos en la actualidad, tanto para clubes como para ligas. Además, la transmisión televisiva aumenta la visibilidad, atrae patrocinadores y aumenta el valor de los equipos para las corporaciones multinacionales (Gómez, 2017). De igual manera, Montes y Sala (2020) postulan que el equilibrio competitivo implica que todos los clubes tienen las mismas posibilidades de tener éxito, lo cual se refleja en la lucha equitativa por victorias y derrotas.
Además, el fútbol profesional en Perú ha experimentado transformaciones drásticas en el marco de su estructura económica, en particular en la transferencia de costos de retrasmisión televisiva de los partidos. Dado que los derechos se centralizaron en manos del Consorcio Fútbol del Perú, no era más competitivo y, además de crear un entorno monopólico, también dañó el rendimiento y la sostenibilidad de clubes como Alianza Universidad de Huánuco. Por lo tanto, vale la pena mencionar que el equilibrio competitivo en el fútbol es crucial y las ligas nacionales, como la Premier League, introducen el sistema de recolección de torneos por derechos colectivos de televisión, para maximizar las ventas y darles a todos los equipos una parte aceptable (Mahía Rey, 2017).
Es importante comprender cómo un monopolio en la compra de los derechos de televisión afecta la competitividad del fútbol. Un examen de los campeonatos peruanos de 2019, 2020 y 2021 pretende proporcionar evidencia objetiva que ayude a los administradores de fútbol a tomar decisiones para crear un entorno más justo. Según la problemática expuesta, el objetivo de este estudio fue analizar el impacto del monopolio en la compra de derechos televisivos y su Influencia en el equilibrio competitivo del fútbol peruano, tomando el caso del Club Social Deportivo y Cultural Alianza Universidad de Huánuco. A través de esto, se buscó crear una contribución académica que permita ofrecer sugerencias prácticas para aumentar la sostenibilidad y la competencia en el fútbol peruano.
MÉTODOS
Tipo y área de estudio
La investigación fue desarrollada bajo un enfoque cuantitativo. En ese sentido, según Hernández-Sampieri y Mendoza (2018), este enfoque se centra en la recolección y análisis de datos numéricos para identificar patrones, relaciones y tendencias. Así mismo, se basó en un diseño longitudinal debido a la necesidad de analizar cómo las dinámicas del monopolio en la adquisición de derechos televisivos influyeron en la competitividad durante un período de tiempo. Para Fuentes-Doria et al. (2020), el diseño implica la recopilación de datos a lo largo del tiempo, lo cual es vital para comprender fenómenos complejos.
Por otra parte, tuvo un alcance explicativo, puesto que no solamente se quiso describir cómo el monopolio en la adquisición de derechos televisivos se consolida en el territorio, además, se pretendió discutir cuáles son las causas y consecuencias de esta práctica en el equilibrio competitivo en el país. En ese sentido, de acuerdo con Vara Horna (2015), el alcance explicativo hace referencia a la posibilidad que brinda un estudio para explicar las causas, relaciones o mecanismos que generan dichos fenómenos, de manera clara y detallada.
Población y muestra
La población de estudio estuvo formada por los 18 clubes profesionales en la primera división de la Liga de fútbol peruana en los años 2019, 2020 y 2021. Estos clubes fueron seleccionados sobre la base de una actividad continua y el acceso a los datos importantes sobre su desempeño y los derechos de transmisión televisiva. Se empleó una muestra intencional, que incluía 10 clubes, especialmente seleccionados para una variabilidad en términos de logros deportivos y la capacidad financiera. Al respecto, Arias et al. (2022) postulan que el muestreo no probabilístico intencional es el método de selección que permite al investigador escoger a los participantes por motivos concretos y subjetivos.
Variables e instrumentos de recolección de datos
La variable principal fue el equilibrio competitivo en la Liga 1 del fútbol peruano, la cual fue representada por la desviación estándar de los puntos obtenidos por los clubes en los campeonatos 2019, 2020 y 2021. Para ello, se utilizó un instrumento de recolección de datos basado en tablas de posiciones acumuladas y los ingresos por derechos televisivos de los clubes, siguiendo la metodología propuesta por Hernández Sampieri et al. (2014) para el análisis estadístico. Este instrumento permitió calcular la media y la dispersión de los puntos, proporcionando una estructura clara para evaluar el impacto del monopolio en la competitividad del fútbol profesional en Perú.
Técnicas y procedimientos de la recolección de datos
Para el análisis de datos, fueron realizadas técnicas estadísticas, como la media y medidas de dispersión, siendo aplicadas la siguiente fórmula estadística, extraída de Mahía Rey (2017), para encontrar la desviación estándar de los puntos logrados por los diferentes equipos que participaron en los campeonatos profesionales de 2019, 2020 y 2021, determinándose el equilibrio competitivo de dichos campeonatos, lo cual es ideal cuando la desviación estándar es 0. Sin embargo, cuando la desviación estándar asume valores mayores a 1, el equilibrio competitivo afecta el desempeño de los equipos que participan en el campeonato.

Por otro lado, la ratio entre los equipos respecto a sus ingresos por derechos televisivos, para determinar cuál es el que más recibe y el que menos recibe, fue determinado por los ingresos del Club Alianza Lima y el Club Social Deportivo y Cultural (CSDC) Alianza Universidad de Huánuco, según la propuesta realizada por el Consorcio Fútbol del Perú, a los equipos que ascendieron en el año 2019 a la Liga 1.
RESULTADOS
Los resultados fueron mayores a 1, lo cual confirma la hipótesis de que no existía equilibrio competitivo, es decir, los valores mayores a 1 reflejan falta de equilibrio competitivo. Los datos revelan además que la desviación estándar fue de 1,83 en 2019; 1,95 en 2020 y 1,85 en 2021, lo que indica una variabilidad significativa en el rendimiento de los equipos a lo largo de estos años.
La desviación estándar superior a 1 en todos los años analizados sugiere una notable ausencia de equilibrio competitivo en la Liga 1, lo que implica que algunos clubes, como el Club Alianza Lima, lograron acumular una cantidad considerable de puntos, mientras que otros, como el CSDC Alianza Universidad de Huánuco, enfrentaron mayores dificultades para competir en igualdad de condiciones. Este fenómeno puede atribuirse a la concentración de recursos y derechos televisivos en ciertos clubes, lo que ha generado una brecha en la competitividad.
En conclusión, los resultados obtenidos sugieren la implementación de políticas de redistribución de recursos más equitativos en la Liga 1 para mejorar la supuesta equidad y competitividad en el fútbol profesional peruano (ver Tabla 1).

Los datos reflejan una clara correlación entre la cantidad de ingresos recibidos por los clubes y los puntos acumulados en la tabla de posiciones.
Los clubes que recibieron mayores ingresos, como el Club Alianza Lima, mostraron un rendimiento significativamente superior, acumulando un mayor número de puntos en comparación con aquellos que recibieron menos, como el CSDC Alianza Universidad de Huánuco. Esta tendencia se evidencia en las ratios de ingresos, que indican que el Club Alianza Lima recibió aproximadamente 7,48 veces más en 2019; 6,62 veces más en 2020 y 7,45 veces más en 2021, en comparación con el CSDC Alianza Universidad de Huánuco.
La desviación estándar de los puntos acumulados por los clubes, que se mantuvo por encima de 1 en todos los años analizados, refuerza la idea de que la desigualdad en la distribución de ingresos por derechos televisivos impacta negativamente en el equilibrio competitivo de la Liga 1. Esto sugiere que los clubes con menos recursos enfrentan desafíos significativos para competir en igualdad de condiciones, lo que puede llevar a una disminución en la calidad del espectáculo deportivo y a una menor atracción para los aficionados.
Así mismo, se observó que resaltan la importancia de una distribución más equitativa de los ingresos por derechos televisivos en la Liga 1. La implementación de políticas que busquen equilibrar los recursos entre los clubes podría contribuir a mejorar la competitividad y la sostenibilidad del fútbol profesional en Perú (ver Tabla 2).

Los resultados del análisis indican que la estructura de distribución de los derechos de transmisión televisiva en la Liga 1 para la temporada 2019 condujo a un entorno competitivo desbalanceado. La falla de la equidad en los niveles de distribución de los recursos económicos no solo afecta la capacidad de los clubes menos favorecidos para competir en igualdad de condiciones, sino que también influye en la calidad del espectáculo y el interés de los fanáticos.
Sin aportes significativos por ese concepto, el CSDC Alianza Universidad de Huánuco se vio claramente en desventaja con respecto a sus competidores y así figuró en un lugar inferior en la tabla. Esta situación resalta la necesidad de revisar las políticas de asignación de ingresos en busca de un equilibrio que permita potenciar la competencia y la atracción de los hinchas. En resumen, el análisis del equilibrio competitivo en la Liga 1 de 2019 destaca la influencia negativa de la concentración de recursos en el desempeño deportivo y establece importantes implicaciones para la administración y reglamentación del fútbol profesional en Perú (ver Tablas 3 y 4).



La desviación estándar (σPT.1 = 1,83) indica que existe una variabilidad considerable en los puntos obtenidos por los equipos en la Liga 1 durante el año 2019. En un contexto ideal, donde todos los equipos están compitiendo con las mismas posibilidades, la desviación estándar debería encontrarse cercana a cero. Por otro lado, el valor de 1,83 demuestra que hay una notable desigualdad en el rendimiento, lo que significa que algunos equipos están significativamente por encima o por debajo de la media general de puntos.
Este nivel de desviación estándar indica la concentración de puntos en clubes más grandes con mayores finanzas y recursos para atraer talento, lo que se traduce en un rendimiento superior. Por otro lado, los equipos con menores recursos luchan por competir y, por lo tanto, su puntaje es menor, lo que provoca una menor proporción de puntos obtenidos. Además, la alta desviación estándar también plantea cuestiones sobre la sostenibilidad del campeonato. Un entorno de competencia desigual también puede conducir a una drástica reducción del interés entre los aficionados, afectaría los ingresos por taquilla y los acuerdos de patrocinio. Esto perpetúa un ciclo de desigualdad, donde los clubes grandes siguen teniendo éxito, mientras que los clubes pequeños no pueden durar.
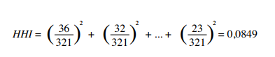
Por otra parte, el índice de Herfindahl-Hirschman (HHI) es una de las técnicas más empleadas con el fin de valorar la concentración de los mercados, el cual también es usual para medir el equilibrio en del deporte. De acuerdo con Espinoza (2023), este índice es una medida cuantitativa de la concentración del mercado de una economía, calculada sumando los cuadrados de las cuotas de mercado de todos los competidores. La magnitud del HHI es una que permite capturar la concentración competitiva en un mercado en donde se ofrecen bienes o servicios, y dentro del cual, de hecho, pueden existir oligopolios o monopolios.
Siendo esta una medida adecuada aplicada al análisis del rendimiento deportivo, el HHI se calcula para determinar la proporción de los puntos entregados a cada equipo en una liga con relación a los puntos totales que se encuentran sobre la mesa. Por consiguiente, el valor ideal del índice, en el cual los equipos juegan en una condición perfectamente equilibrada, debería ser cercano a cero. Un alto índice, por el contrario, indicará una gran concentración de puntos en solo unos pocos equipos.

Donde:
Pi = puntos acumulados por el equipo y durante la temporada.
Pt = total de puntos obtenidos por todos los equipos en la Liga 1.
n = número total de equipos en la Liga 1.
Empleando como referencia la puntuación acumulada por 12 equipos de la Liga 1 durante la temporada 2019, el total de puntos fue: PT = 321.

El resultado obtenido (0,0849) fue normalizado multiplicándolo por 10,000 para ajustarse a escalas internacionales, resultando:

Este resultado denota un nivel moderado de concentración respecto al rendimiento deportivo en la Liga 1, e indica además que algunos equipos están acumulando una proporción considerable de los puntos totales, contribuyendo así a la desigualdad competitiva. En particular, los equipos con más recursos, como el Deportivo Binacional y el Sporting Cristal, dominan la competencia, mientras que los otros clubes, con menores ingresos por derechos de transmisión televisiva, luchan por mantenerse competitivos.
Por otro lado, la Liga 1 en la temporada 2020 fue marcada por la suspensión de la competencia debido a la pandemia y el cambio de formato del torneo. A pesar de estos factores, puede observarse que los equipos con experiencia; tales como Alianza Lima y Universitario de Deportes, aún mantenían altas tasas de puntuación. Así, Universitario de Deportes obtuvo 56 puntos, lo que equivale a un 70 % de todos los 80 puntos posibles. Sin embargo, la temporada también evidenció un cambio en el rendimiento de algunos equipos, con clubes que tradicionalmente no se encontraban en las posiciones más altas, como Sport Huancayo y Cienciano, logrando resultados competitivos más favorables. Esto sugiere que la pandemia pudo haber nivelado, en cierta medida, el campo de juego, permitiendo que equipos con menos recursos y menos historia en la Liga tuvieran la oportunidad de sobresalir.
La media general de puntos obtenidos por los equipos en la Liga 1 fue de aproximadamente 38 puntos; de este modo, se puede inferir que, de promedio de la Liga 1, los equipos no alcanzaron el mismo rendimiento que la temporada anterior. Esto puede deberse a las dificultades logísticas o a problemas económicos con los que se vieron enfrentados los clubes a causa de la pandemia, sumado al nuevo formato, que disminuyó la movilidad administrativa (ver Tablas 5 y 6).



El valor de SPT.1, que se sitúa en 1,9589, es la desviación estándar de los puntos obtenidos por los equipos en la Liga 1, temporada 2020. Este valor es importante por el equilibrio competitivo que significa para la Liga 1. Una desviación estándar de 1,9589 significa que hay una variabilidad considerable en el rendimiento de los equipos o que equivale a que hay clubes que están significativamente por encima o por debajo de la media general de puntos.
Este nivel de desviación estándar, cuando es más de 1, indica una competencia poco equilibrada en la Liga 1. Como se señaló, en supuestas condiciones ideales, cuando todos los equipos competirían en el mismo nivel en términos de igualdad de condiciones, la desviación estándar sería cercana a 0. Por lo tanto, la cifra obtenida sugiere que, a pesar de los esfuerzos por promover la competitividad, las disparidades en recursos, infraestructura y gestión entre los clubes continúan afectando el rendimiento general.
De igual manera, aplicando el HHI se consideró el total de puntos acumulados por los 20 equipos de la Liga 1, obteniendo un resultado de PT = 704.

El resultado obtenido (0,0544) fue normalizado
multiplicándolo por 10,000 para justarse a escalas
internacionales, resultando:

El valor de 543,85 muestra, por tanto, una mejora en el equilibrio
competitivo en comparación con el año 2019. Una menor
concentración significa que los puntos fueron distribuidos entre
los equipos, reduciendo la prevalencia de unos pocos clubes. Este
resultado puede estar determinado por razones ajenas, tales como las
condiciones atípicas de la pandemia, así como una mayor
igualdad al acceso a los recursos.
Por su parte, en la temporada 2021 se pudo observar una diferencia significativa en el rendimiento de los equipos, ya que algunos de estos tuvieron una actuación excepcional, mientras que otros lucharon por seguir siendo competitivos. En particular, el equipo que encabezó la lista de posiciones fue el Club Alianza Lima, que logró 61 puntos, lo que equivale al 76,25 % de los 80 asignables. Este rendimiento no solo destaca la capacidad del club para adaptarse a las condiciones del torneo, sino que también refleja una gestión efectiva y una estrategia de juego sólida.
Por otro lado, equipos como Universitario de Deportes y Sporting Cristal también han logrado una alta posición en la clasificación, con 56 y 54 puntos. Esto puede sugerir que, a pesar de todas las dificultades, los clubes más antiguos y prestigiosos del campeonato siguen manteniendo un alto nivel de rendimiento. Esto contribuye a la percepción del campeonato reñido en la competencia por el título. La media general de los puntos ganados por los clubes durante la Liga 1 del año 2021 fue de aproximadamente 39 puntos. En general, esto apunta a una leve recuperación en comparación con la temporada pasada, lo que podría interpretarse como un signo de recuperación y adaptación por parte de los clubes a las condiciones de juego impuestas por la pandemia (ver Tablas 7 y 8).



La desviación estándar calculada para la temporada 2021, SPT.1 = 1,855984869, es un marcador crítico que puede ser utilizado para evaluar la competencia entre los equipos de la Liga 1. A saber, el valor por encima de 1 implica una gran variabilidad en los logros. En términos estadísticos, una desviación estándar de más de 1 sugiere que existen diferencias significativas entre las capacidades de los clubes para ganar puntos. Esto indica además desigualdades en los recursos, la infraestructura y las capacidades de gestión. La desviación estándar de 1,855984869 significa que, aunque algunos equipos han mejorado su rendimiento y han podido competir de manera más efectiva, todavía hay desigualdades en la Liga 1 que no permiten que esta esté en equilibrio. Esto es importante porque el fútbol profesional requiere un nivel de equidad competitiva para poder seguir desarrollándose. La Liga 1 tiene un problema estructural relacionado con los equipos que la lideran, como Alianza Lima y los que están luchando por no ser relegados. La Liga 1 y la Federación Peruana de Fútbol (FPF, 2018) tienen que implementar políticas para lograr una distribución más equitativa de recursos y oportunidades.
Así mismo, mediante la aplicación del HHI se tuvo en cuenta los puntos acumulados por 20 equipos de la Liga 1, obteniendo el resultado de PT = 564.

De igual forma, el resultado obtenido, 0,0528 fue normalizado multiplicándolo por 10,000 para ajustarse a escalas internacionales, resultando:

Un HHI de 528,14 indica que hay una menor concentración en la distribución de puntos en comparación con años anteriores (849,27 en 2019, así como 543,85 en 2020). Esto indica que hubo una distribución más equitativa de puntos entre los equipos en 2021. La disminución en el HHI revela que el dominio de algunos pocos clubes fue menor, lo que, a su vez, sugiere que la competencia fue más intensa y homogénea en términos de rendimiento de los equipos.
Considerando que el equilibrio ideal es un HHI cercano a 0, la evolución que han tenido los índices del 2019 a 2021 establece una tendencia positiva en la distribución del rendimiento deportivo.
DISCUSIÓN
Esta investigación revela una alineación clara con la investigación de Mahía Rey (2017), quien afirma que al cooperar en parejas de clubes-canales durante las licitaciones de televisación, se maximizan los beneficios del negocio. Los descubrimientos producidos en la Liga 1 del Perú sugieren que la disparidad económica entre los clubes se ha sostenido debido a un modelo de venta desigual, lo cual ha impedido su mantenimiento de una capacidad vitalicia. La venta desigual ha sido una característica de las transacciones implementadas por los clubes peruanos, quienes enfrentan desafíos más grandes que sus pares españoles. Como resultado, la venta desigual de los derechos televisivos ha hecho que los clubes menos exitosos dependan más del dinero de la televisión por cable.
Del mismo modo, los hallazgos sugieren resultados consistentes con las conclusiones de Murillo (2020), quien sugiere que, en el fútbol, la competitividad de las ligas no solo se basa en la fuerza de los equipos, sino en su capacidad para dar oportunidades de juego a todos. En el fútbol peruano, este estudio sugiere que la concentración de ingresos televisivos perjudica la equidad y a los clubes más débiles, disminuyendo drásticamente sus posibilidades de competir en igualdad de condiciones. A diferencia de las ligas europeas empleadas por Murillo en su análisis, la Liga 1 ofrece un clima de igual previsibilidad de resultados que se ve exacerbado por el aspecto económico; a menos que cambie la estructuración de los derechos televisivos con una clara política de equidad hacia todos los equipos.
Por otra parte, los resultados exhiben similitudes y diferencias con respecto a la investigación de Gílmas (2019), quien constato una notable dependencia en los ingresos por derechos televisivos de la Liga española, cuyos ingresos por este concepto alcanzaron una proporción del 61 % del total de los clubes. Sin embargo, la Liga 1 del Perú presenta mayor dependencia, con más del 50 % de sus ingresos por derechos televisivos, lo cual agrava la ya existente desigualdad en el ámbito competitivo. Al no existir un modelo de venta centralizada en el país andino, surge una desventaja para los clubes más pequeños. Con la Liga 1 mostrándose a favor de los clubes menos beneficiados, el modelo centralizado les ha dado a estos últimos la oportunidad de percibir un mejor porcentaje de los ingresos.
Por lo tanto, el presente estudio muestra un patrón de desigualdad que refleja el estudio de Montes y Sala (2020). Para los autores, la Liga española de fútbol de Primera División también evidencia una desigualdad significativa. Entre los argumentos planteados que explican esto, el más interesante es un aumento del desequilibrio en la temporada 2009-10. Es así que nuestros resultados apoyan la dependencia de los derechos de televisación por parte de los clubes peruanos, pues representa más del 50 % de los ingresos de todos los clubes. De igual manera los derechos de TV son el principal factor para definir el éxito de este deporte y perjudican la competencia, ya que esta dependencia económica limita la capacidad de los clubes más pequeños para competir, lo que se traduce en resultados previsibles y una disminución del interés de los aficionados.
Finalmente, los resultados del presente estudio respaldan las afirmaciones de Leandro Flores e Inga Guimaray (2019), quienes concluyen que el fútbol peruano como negocio tiene limitaciones, incluida la informalidad ligada a la falta de profesionalización. Además, la comparación con el fútbol europeo destaca el potencial económico no explotado de un fútbol institucional y profesionalizado en el Perú, a corto y largo plazo. Las implicaciones teóricas y prácticas sugieren que cambiar la forma de generar ingresos y una competición deportiva equitativa tiende a un modelo europeo con más ingresos para los clubes y una competición más intensa. Aunque este estudio no está exento de limitaciones, ya que los datos sobre la gestión interna de la mayoría de los clubes no están disponibles, cabría investigar más al respecto.
Conclusiones
Después de hacer estas pruebas, se puede concluir que el monopolio ejercido por el Consorcio Fútbol del Perú, tanto de la producción como de la televisión, ha llevado a un debilitamiento en el equilibrio competitivo de la Liga 1 de fútbol. Así mismo, el cálculo del HHI aplicado a la distribución de los ingresos televisivos muestra que hay una concentración excesiva en la distribución de puntos (849,27 en 2019, 543,85 en 2020 y 528,14 en 2021) que supera los umbrales establecidos por los organismos reguladores internacionales que consideran un mercado como poco competitivo. En consecuencia, se confirma que la actual estructura de concentración de ingresos ha contribuido significativamente a la pérdida de competitividad en la Liga 1, lo que indica la necesidad de examinar la asignación de los recursos televisivos e implementar políticas destinadas a restaurar el equilibrio entre los clubes para recuperar la competitividad en el torneo.
Los hallazgos del estudio demuestran que los clubes peruanos obtienen más del 50 % de sus ingresos de los derechos televisivos, lo que exacerba la desigualdad ya existente en el ámbito competitivo. En consecuencia, esta desigualdad no solo socava la animación y la equidad competitiva entre los clubes, sino que también restringe las oportunidades de crecimiento y desarrollo de los clubes más débiles. En conclusión, la investigación destaca la urgente necesidad de implementar políticas que promuevan una distribución de ingresos por derechos televisivos, la cual no solo ayudaría a los clubes menos afortunados, sino que también aseguraría la viabilidad del fútbol en el país. Los partidos serían más atractivos para los fanáticos y los patrocinios mejorarían de forma considerable.
Recomendaciones
Se recomienda establecer un nuevo sistema para la asignación de los ingresos por transmisión de televisión en el fútbol profesional peruano, con especial énfasis en fomentar la equidad y la sostenibilidad competitiva. Así mismo, se sugiere la participación de un organismo regulador independiente que se encargue de la supervisión de los contratos por derechos de transmisión, asegurando términos equitativos y claros. El objetivo es reducir la estructura oligopólica existente y restaurar el equilibrio competitivo de la Liga 1, cultivando un panorama más favorable, atractivo y volátil, que fomente el avance integral del fútbol del Perú. También crear un sistema de redistribución que separe un porcentaje de los ingresos por derechos televisivos y proporcione al club con una menor cantidad de ingresos.
Por otro lado, se fomentaría un entorno de competencia justa que permitiera a los clubes más pequeños invertir en su infraestructura, desarrollo de talento y gestión, lo cual, a su vez, les permitiría competir en un nivel más alto y, por lo tanto, atraerá mayor cantidad de espectadores durante mucho tiempo. Igualmente, implementar políticas específicas con el objetivo de apoyar a los clubes más pequeños para lograr la sostenibilidad y competitividad.
De la misma forma, la vinculación con universidades y empresas privadas podría ayudar a incentivar el surgimiento de talento y empoderar la gestión, lo que garantizaría el equilibrio para el crecimiento del fútbol peruano y el fomento de la participación activa de los fanáticos y patrocinadores en la gestión de los clubes
REFERENCIAS
Arias, J., Holgado, J., Tafur, T., y Vasquez, M. (2022). Metodología de la investigación: el método Arias para realizar un proyecto de tesis. Instituto Universitario de Innovación Ciencia y Tecnología Inudi Perú. https://doi.org/10.35622/inudi.b.016
Espinoza, J. C. (2023). Competitividad electoral en México 1928-2018. Espiral Estudios Sobre Estado Y Sociedad, 30(87). https://doi.org/10.32870/eees.v30i87.7330
Federación Peruana de Fútbol. (2018). Nueva Liga de Fútbol Profesional [Presentación en issuu] https://issuu.com/seleccionperufpf/docs/presentacion_liga_futbol_profes iona/4
Fuentes-Doria, D. D., Toscano-Hernández, A. E., Malvaceda-Espinoza, E., Días Ballesteros, J. L., y Díaz Pertuz, L. (2020). Metodología de la investigación: Conceptos, herramientas y ejercicios prácticos en las ciencias administrativas y contables. Editorial Universidad Pontificia Bolivariana.
Gílmas, A. E. (2019). Ingresos por derechos de televisión en el fútbol profesional y su impacto en el equilibrio competitivo y la política de fichajes. Estudio de la Liga española y la Premier League inglesa [Tesis de pregrado, Universidad Pontificia Comillas]. Repositorio Universidad Pontificia Comillas. http://hdl.handle.net/11531/27180
Gómez, J. S. (2017). Derechos de transmisión de eventos deportivos: un análisis frente a la libre competencia [Tesis de pregrado, Pontificia Universidad Javeriana]. Repositorio Institucional Javeriano. http://hdl.handle.net/10554/34227
Hernández Sampieri, R., Fernández Collado, C., y Baptista Lucio, M. (2014). Metodología de la Investigación (6.ª ed.). McGraw Hill.
Hernández-Sampieri, R., y Mendoza T, C. (2018). Metodología de la investigación. Las rutas cuantitativa, cualitativa y mixta. McGraw Hill.
Leandro Flores, I., e Inga Guimaray, C. (2019). Principales limitaciones y desafíos en el proceso de licenciamiento de los clubes profesionales de fútbol peruano obren la base de la gestión del cambio: Estudio de caso del Club Sport Boys Association [Tesis de pregrado, Pontificia Universidad Católica del Perú]. Repositorio de tesis PUCP. http://hdl.handle.net/20.500.12404/14774
Mahía Rey, A. (2017). ¿Liga bipolar? Impacto económico de los contratos televisivos en la Primera División y comparación entre las Big Five [Tesis de pregrado, Universidade da Coruña]. Repositorio Universidade da Coruña. http://hdl.handle.net/2183/19775
Montes, F., Sala, R. (2020). Equilibrio competitivo en Liga española de futbol de Primera División: Un test de Montecarlo basado en datos funcionales. Studies Of Applied Economics, 30(2), 513-526. https://doi.org/10.25115/eea.v30i2.3538
Murillo, A. J. (2020). Análisis del Balance Competitivo en el futbol europeo [Tesis pregrado, Universidad de Zaragoza]. Repositorio Institucional de Documentos. https://zaguan.unizar.es/record/101768/files/TAZ-TFG-2020-4371.pdf
Vara Horna, A. A. (2015). Los 7 pasos para elaborar una tesis. Macro.
